新聞中心
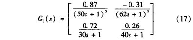
基于球磨機系統的時變性,采用多個模型描述其動態特性。系統輸出信號Y=[TP]T,輸入信號U=[RW]T,則被控對象可描述為Y=GU。其中,T為磨出口溫度,P為傳遞函數矩陣。文獻對某球磨機在不同工況下的運行情況進行辨識,得到不同工況下相互耦合的溫度和負壓回路的兩模型如下:


按照G1(s)進行設計,由下公式(8)可知系統的相對增益矩陣為


由公式(19)可知配對方式選擇對角線配比,即熱風量R控制溫度T,再循環風量W控制負壓P,負荷工藝要求。按照表1求得此球磨機系統的逆向解耦控制器為:

解耦后的被控對象變為兩個單回路系統,即將本例與傳統的對角矩陣解耦控制方法比較,把對角矩陣解耦控制中的解耦控制器記為D,期望的對角矩陣仍為Q,則有:

雖然逆向解耦和對角陣解耦均可將球磨機系統解耦成兩個單回路系統,但由分析可知該對解耦矩陣含有s的6次項,實際構造結構太復雜,不利于工程實現,并且計算量很大。而逆向解耦控制器結構簡單,動態解耦效果良好,易于物料實現,突顯了其適合與高階的過程對象解耦的優點。
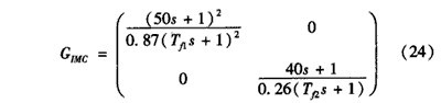
對解耦后的廣義被控制對象進行內模控制器設計,得內模控制器為:

其中的
,
為濾波器的時間常數,其值通過Simulink進行防真求得。根據控制輸出的動態性能求得濾波器的時間常數
。
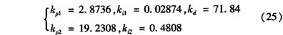
根據前問介紹的IMC-PID轉換方法得到本系統PID控制器參數為:

根據此參數對加解耦合的廣義被控制對象進行PID控制器設計及Simulink仿真,如圖4所顯示。

PID控制的階躍響應控制仿真結果如下圖5所顯示。

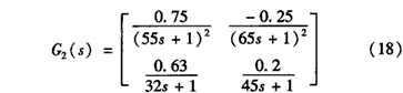
基于球磨機系統的時變性,當被對象由G1(s)變為G2(s)時,驗證所設計的PID控制器對被控對象的魯棒性,仿真結構如下圖6所顯示。

由上圖5和圖6的仿真曲線可以看出,在標稱情況下,磨出口溫度和磨入口負壓的階躍響應的動態性能參數良好,超調較小,響應速度較快,基本無耦合作用。并且在當被控對象改變時,所整定的PID控制器不僅有良好的調節性能還有很好的魯棒性能,其系統輸出響應性能指標沒有惡化。
上一篇:測量球磨機襯板受力的詳細方法
下一篇:球磨機設備翼緣板的卷制工藝