新聞中心
一、公稱破碎比
公稱破碎機。用碎礦機給礦口的有效寬度和排礦口的寬度來確定及表示,設碎礦機給礦口的公稱寬度為B(mm),排礦口寬度為S(mm),則公稱破碎比i公稱為:

碎礦機的給礦口雖然寬度為B,但在給礦口邊緣上不能有效地鉗子住礦石進行破碎,能有效鉗住礦塊破碎的地方在破碎腔的上部,即大約在給礦口寬度85%的地方,因此,在設計上能給入碎礦機的最大礦塊通常按給礦口寬度的85%計,故0.85B稱為碎礦機給礦口的有效寬度。排礦口取值時,粗碎機取最大寬度,中、細碎機取最小寬度。公稱破碎比在生產中常用來估計碎礦機的負荷。生產中不可能經常對大批礦料作篩分分析,但只要知道碎礦機的給礦口及排礦口寬度就可以方便地計算出破碎比,及時地了解碎礦機組的負荷情況。
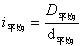
二、平均破碎比或真實破碎比
平均破碎比或真實破碎比。用破碎前后物料的平均粒度來表示及確定。設物料破碎前后的平均粒度分別是D平均(mm)及d平均(mm),則平均破碎比或真實破碎比i平均為:

破碎前后的物料,都是由若干粒級組成碎散物料統計總體,只有平均直徑才能代表它們的真實粒度,這種破碎比較能真實地反映物料破碎的程度,由于確定它比較麻煩,通常只在科研中應用。
吉宏機械:http://m.kayunwxy.com 詳情咨詢:0371---64371564 13849116116
上一篇:碎礦中最大破碎比的表示與計算