新聞中心
磨礦機的功率主要消耗于破碎介質在圓軌跡上運動時,從落回點提升到脫離點,并使其具有一定的運動速度,即獲得拋出的動能,而沿拋物線軌跡下落。這種功率稱為有用功率。此外,尚有一小部分功率消耗于克服空心軸頸與軸承之間的摩擦和傳動裝置的阻力。輸入電機的電能主要消耗在三個方面:
(1)電動機本身的損失,約占總電能的5%~10%,與電動機本身效率有關。
(2)機械摩擦損失,即克服傳動部件間的摩擦所消耗的功率。它與磨機軸頸和軸承的構造、傳動方式及潤滑方式等有關,并與磨機轉數成正比,這部分約占總電能的10%~15%。
(3)有用功率,即使粉磨介質和物料生產線規定的運動進行磨料作用所消耗的功率,其大小與介質裝入量和磨機轉數等有關,約占總電能的75%~80%。
目前,確定磨礦機所需功率的方法有:按每噸產量的單位能耗計算;按經驗公式計算;按理論公式計算;按類比計算;我選擇用理論公式計算。
球磨機處于拋落工作狀態時,物料在磨礦機中的磨碎作用主要依靠落下來的沖擊功能。所以,磨礦機所消耗的有用功率N,應該等于拋落下來的球載在單位時間內所作的功,即:
(1)
按公式(1)算出的磨礦機有用功率是偏高的,因為球載落下時產生的沖擊動能只有一部分動能消耗在擊碎物料上,還有一部分能量傳給磨礦機筒體的回轉運動。
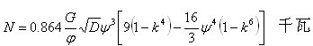
利用球的沖擊作用使物料磨碎,僅僅依靠徑向分速度所產生的垂直沖擊力。切線分速度不會產生沖擊作用,它只能使球沿圓形軌跡移動,即切線分速度產生的動能轉化成協助筒體旋轉的主動力矩。所以,按公式(3-19)計算的有用功率應該減去由切線分速度產生的這部分能量。因此,球磨機的有用功率N0應該等于:
(2)
式中 填充率φ =0.40;
筒體轉速率ψ ,筒體最有利的轉速率ψ =(76%~88%),取 =85%;
系數k值是隨著不同的φ 值和 ψ值而變化的,查得當φ =0.40, ψ=0.85時,k = 0.600。則:

磨礦機由于克服機械摩擦而消耗的功率,可以用機械傳動效率η來考慮。對于中心傳動的磨礦機,η =0.92~0.94;對于周邊傳動的磨礦機,η =0.86~0.9;中間有減速器時,應選低值,直接傳動則選高值。
因為球磨機是周邊直接傳動,故選擇η = 0.9。
則工作功率為:

河南吉宏機械有限公司是從事大中型系列礦山機械,主要包括:球磨機、攪拌機、烘干機、節能球磨機、顎式破碎機、環錘式破碎機、超細球磨機、礦用浮選機、螺旋分級機、螺旋洗礦機、磁選機、選礦設備、浮選設備等重型機械設備為主,集研發、制造、銷售為一體的企業,公司位于河南省鞏義市310國道北山口交管站西300米。服務超值,質優價廉,值得信賴!歡迎各界人士實地考察選購。如果您有問題需要咨詢,請隨時與我公司聯系,河南吉宏將竭誠問您提供最優質的服務。24小時熱線:13849116116 電話:0371-64371564 傳真:0371-64371909 咨詢網站:http://m.kayunwxy.com
上一篇:球磨機粉磨介質的調整
下一篇:球磨機的傳動部三大問題