新聞中心
所謂篩分效率,是指實際得到的篩下產物質量與入篩物料中所含粒度小于篩孔尺寸的物料的質量之比,篩分效率用百分數或小數表示,即:
(1)
式中 E —— 篩分效率,%
C —— 篩下產品質量;
Q —— 入篩原物料質量;
α —— 入篩原物料中小于篩孔的級別的百分數,%。
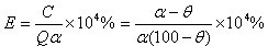
式(1)是篩分效率的定義式,但實際生產中要測定C和Q是比較困難的,因此,改用下面推導的計算公式來進行計算。
篩網未磨損時的 篩分效率用式(2)計算:
(2)
式中 θ —— 篩上產物中所含小于篩孔尺寸粒級的百分比,%。
式(2)是指篩下產物中不含有大于篩孔尺寸的顆粒的條件下列出的物料平衡方程式,公式中的α、θ必須用百分數的分子代入。
由于實際生產中,篩網常常被磨損,部分大于篩孔尺寸的顆粒總會或多或少地透過篩孔進入篩下產物,如果考慮這些情況,篩分效率應按公式(3)計算:
(3)
式中 β —— 篩下產物中所含小于篩孔級別的百分比,%。
河南吉宏機械有限公司是從事大中型系列礦山機械,主要包括:球磨機、攪拌機、烘干機、節能球磨機、顎式破碎機、環錘式破碎機、超細球磨機、礦用浮選機、螺旋分級機、螺旋洗礦機、磁選機、選礦設備、浮選設備等重型機械設備為主,集研發、制造、銷售為一體的企業,公司位于河南省鞏義市310國道北山口交管站西300米。服務超值,質優價廉,值得信賴!歡迎各界人士實地考察選購。如果您有問題需要咨詢,請隨時與我公司聯系,河南吉宏將竭誠問您提供最優質的服務。24小時熱線:13849116116 電話:0371-64371564 傳真:0371-64371909 咨詢網站:http://m.kayunwxy.com
下一篇:球磨機總體安裝順序