新聞中心
球磨機初始裝球比例是指裝入鋼球的種類。各種直徑和重量比例與被磨物料性質相適應。即粗級別物料要用大尺寸鋼球磨礦,細粒級別物料要用小尺寸鋼球磨礦;物料中有粗、細不同粒級,采用一種鋼球的磨礦效果,不如有大、小幾種混合鋼球的好。
目前在選礦工作中,主要是按球磨機全給礦粒度分布性質來進行初裝比例計算,使大尺寸鋼球的比例大致與粗級別物料的百分率相當,小尺寸鋼球比例大致與細粒級物料產率一致,該方法裝球比例及球徑的計算步驟如下:
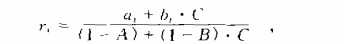
1、球磨機全給礦的粒度分布特性,全給礦粒度分布是指新給礦的返砂剔除-0.15mm或0.1mm粒級后的綜合粒度分布,可由下式得出:

關于公式技術咨詢:13849116116,向郅經理索取。
2、確定各粒級組的球徑和初始裝球比例,根據計算所得球磨機全給礦粒度分布特性和具體磨礦要求,目的,按恰當的粒度,將全給礦有效地劃分成幾組粒級,每一組粒級都按各粒級的上限粒度和半理論球徑公式求出所需球徑。并根據所劃分幾組粒級的含量調成整數,確定各種直徑鋼球的重量百分數,即為球磨機初始裝球比例。
上一篇:球磨機中空軸漏漿的處理措施
下一篇:球磨機補加鋼球比例