新聞中心
理論上,球磨機球磨陶瓷原料所需球磨機筒體可以使任意形狀,但考慮到便于設計制作及降低生產成本等因素。因此可供陶瓷工業機采用的筒體主要是圓柱筒體、圓錐筒體、圓錐—圓柱組合筒體、棱柱筒體、棱錐筒體、棱錐—棱柱組合筒體及球狀筒體。同時又必須考慮到球磨機的功率消耗、裝載量、物料的球磨細碎效率、筒體的強度及鋼材的消耗量等因素的影響。
一、球磨機的功率消耗
為了簡化設計計算,可假設球磨機裝載后可近似地認為是一個均質筒體,那么球磨機筒體由靜止達到額定轉速旋轉需要客服筒體慣性(轉動慣量)所消耗的功率為:

式中:
n—筒體的轉速,r/min;
J—筒體(裝載后)的轉動慣性量,N·m;
π—圓周率,常取π=3.1416;
t—球磨機的起動時間,即球磨機裝載,筒體由靜止達到額定轉速旋轉所需要的時間,通常由試驗確定。
由于球磨機的主要結構及規格尺寸(如:裝載量、轉速等)選定后,球磨機的起動時間基本上是一個常數。由此可見,欲降低球磨機的功率消耗,唯一的途徑就是減少簡體的轉動慣量,而轉動慣量是幾何體的固有特性,我們
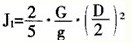
知道在所有的幾何體中,以勻質球體繞其球心線的轉動慣量為最小。根據材料力學的相關知識可以求得直徑為D、重為0的勻質球體繞其球心線的轉動慣量:
(g—重力加速度,常取g=9.81m2/s),而在相同條件下,即直徑為D、重為G的勻質圓柱體繞其軸心線的轉動慣量:

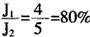
因此,當其他條件相同時,若采用球狀筒體球磨機,它與圓柱狀筒體球磨機的功率消耗之比近似為:

也就是說,球狀筒體球磨機比圓柱狀筒體球磨機約節能20%。
二、球磨機筒體的強度
球磨機正常工作得時候,通常可以近似認為球磨機筒體是一承受內壓力作用得薄壁筒體。圓柱筒體的受力分析如下圖1所顯示:

圓柱筒體的軸向拉應力ó2通過靜力平衡原理得:

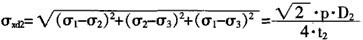
圓柱筒體的徑向拉應力ó1通過靜力平衡原理得:

同時考慮到球磨機筒體所承受的內壓均布載荷P與軸向拉應力ó2及徑向拉應力ó1相比及小,為了簡化設計計算,我們可近似地認為球磨機筒體處于兩向應力狀態。
考慮到球磨機筒體通常是由塑性比較好的碳素結構板或優質碳素結構鋼板滾彎成形及焊接等制成的薄壁筒體,因此,我們可采用第四強度理論進行設計計算或強度校核。

球狀筒體的受力分析如上圖2所顯示,由球狀筒體的對稱性可知,球狀筒體的軸向拉應力ó2與徑向拉應力ó1相等,并且ó1=ó2=ó,由靜力平衡原理得:

同理,與圓柱狀筒體一樣,球狀簡體也可近似地認為處于兩向應力狀態,同樣球狀簡體也是由塑性較好的碳素結構鋼板或優質碳索結構鋼板沖壓成形及焊接等制成的薄璧簡體,仍然。可以以采用第四強度理論進行設計計算或強度校核。
將
及ó3=0代入第四強度理論的表達式后得:

若要使圓柱狀筒體與球狀筒體具有相同的機械強度,即
也就是說:

由此可見,當其它條件相同時,欲使圓柱狀筒體與球狀筒體具有相同的機械強度,那么圓柱狀簡體的壁厚應是球狀筒體壁厚的
倍。若它們采用相同壁厚的筒體材料,那么球狀筒體球磨機的裝載量應是圓柱狀筒休球磨機裝載量的
倍,也就是說在相同的條件下,球狀簡體的機械強度是圓柱狀筒體機械強度的
倍。
上一篇:球磨機功率消耗的設計計算新方法
下一篇:球磨機筒體的轉速