新聞中心
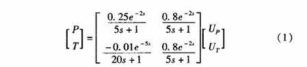
根據球磨機系統的控制要求,需要對球磨機的人口負壓、出口溫度和存煤量進行控制。當采用球磨機的軸瓦振動倍號來表征存煤量時,給煤量回路可與其他兩個回路分離,近似成為一個單回路。以下為采用軸瓦振動信號后,某典型球磨機負壓回路,出口溢度的傳遞函數矩陣:

式中:
P—球磨機入口負壓Up—再循環風門開度
T—球磨機出門溫度Ut—熱風門開度
由式(1)可知當給煤量回路分離吋,負壓回路,溫度依然存在著較強的耦合,為保證系統的正常運行必須對其進行解耦。
針對球磨機系統的運行特性,沒計解耦控制系統如下:

神經元解耦控制器采用在毎對輸入輸出通道上設置一個神經元,毎個神經元有2個輸入,接受PID控制器輸出信號,毎個神經元的綸出作為控制信號送至多變系統,通過神經元權值的修正達到解耦目的。這種結構屬于神經網絡位于控制器之后的串聯解耦方案。
下一篇:球磨機襯板磨損特性的相關因素