新聞中心
1.開路磨礦與閉路磨礦
磨礦作業中,如果礦石經磨礦后直接排出作為該段磨機的最終產品.稱為開路磨礦。
如果球磨機的排礦給入分級機,經過分級將合格的細粒級作為最終產品,不合格的粗粒或粗塊返回磨礦機再磨,就稱為閉路磨礦。由于磨礦機本身沒有控制粒度的功能,為了保證磨礦產品的粒度,為后續作業創造良好的條件,磨礦機一般都要與分級機構成閉路磨礦。
2.返砂量和返砂比
閉路磨礦時,分級機送入磨機的粗粒礦石稱為返砂。在磨礦開始階段,分級機的返砂量是逐漸增多的,經過一段時間之后,它才趨于穩定不變。穩定的返砂重量叫作返砂量,或稱為循環負荷,它可以用絕對值(t/h)表示,也可以用它和磨礦機新給礦量的比值表示。
用相對值表示的循環負荷,稱為返砂比。它是指分級機的返砂量與磨礦機的新給礦量之比,通常用百分數來表示。如果磨機的新給礦量為Q(t/h)、返砂量為S(t/h),則返砂比C可由下式計算:

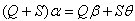
總給礦量為新給礦與循環負荷之和,即:

循環負荷的數量可能比新給礦量大幾倍。它通常不低于200%,有時會超過800%,這主要與所需求的磨礦細度有關。
測定返砂比是經常要做的工作,但在實際生產中,很難直接測定分級機的返砂量。為了計算返砂比,通常是通過對分級機的各科(球磨排礦)、溢流和返砂的細度進行測定,然后,按照物料平衡的原理計算而得到。
如下圖所示:

在球磨機磨機排礦(即分級機的給礦)、分級機溢流和分級機返砂比三處取樣作篩分分析,找出指定粒度級別(通常為—200目含量)的含量分別為α(%)、β(%)和θ(%)。根據進入分級機的物料必須等于從它排出的物料,可以列出:

從而得到返砂量的計算公式為:

和返砂比的計算公式為:

河南吉宏機械有限公司是從事大中型系列礦山機械,主要包括:球磨機、攪拌機、烘干機、節能球磨機、顎式破碎機、環錘式破碎機、超細球磨機、礦用浮選機、螺旋分級機、螺旋洗礦機、磁選機、選礦設備、浮選設備、篩分設備等重型機械設備為主,集研發、制造、銷售為一體的企業,公司位于河南省鞏義市310國道北山口交管站西300米。服務超值,質優價廉,值得信賴!歡迎各界人士實地考察選購。如果您有問題需要咨詢,請隨時與我公司聯系,河南吉宏將竭誠問您提供最優質的服務。24小時熱線:13849116116 電話:0371-64371564 傳真:0371-64371909 咨詢網站:http://m.kayunwxy.com